Self-demagnetizing field is the only magnetic field exists within a permanent magnet when there is no external field. Thus, it is the origination of a permanent magnet to produce magnetic induction for circuit. If there is no self-demagnetizing field in magnet such as in strictly closed circuit, the magnet will contribute no energy to outside. Therefore, it is very important to decide the self-demagnetizing field of a permanent magnet for circuit design.
Unfortunately, it is very difficult to calculate the demagnetizing factor of a magnet with a simple formula, even for magnet with simple shapes such as cube and cylinder. Because the flux distribution within these magnets is not uniform, that is, the demagnetizing factor is the function of position, and does not change linearly with the geometric position in the magnet. It is only ellipsoidal-shaped magnetic material has the unique ability to sustain uniform field along either its major or minor axis (of course, a sphere is a particular case of ellipsoid). So far, only the demagnetizing factor of ellipsoidal-shaped magnet can be calculated with simple formula. For other shaped magnets, the calculation of demagnetizing factor must be recurred to Finite Element Method (FEM) with computer by dividing the total geometry of the magnet into many minor simple regions wherein all physical properties are assumed to be uniform. As cylinder is one of the most practically useful shapes for magnet, people have measured the relationship of its demagnetizing factors with the ratio of the length of a magnet to its diameter by experiment.
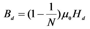
Given the demagnetizing factor of a permanent magnet, it is easy to decide the operating point and operating line of a magnet. By substituting equation (1-5) into equation (1-1), we get:

According to the definition in 9Q, operating point and operating line can be conveniently decided (refer to Fig.1-1c). For example, a cylindrical sintered Nd-Fe-B magnet with diameter of 12.5 mm, assuming there are no yoke irons, what will be its length so that the magnet can be operated near its maximum energy product? In Fig.1-1c, assuming Hcb and Br of the magnet are equal in absolute value, we know that the product of (BdHd) is maximum when the operating line O-P has an angle of 45 degrees to the coordinate axis. This means the slope of operating line O-P is -1.0, and thus, N=0.5 according to equation (1-6). From Fig.1-3 we know, the ratio of length to diameter of the magnet L/D is 0.47 when N=0.5. That is, when the length of the cylindrical magnet is 5.88 mm, it can be operated near its maximum energy product.

Fig.1-3: Relationship of demagnetizing factors N to the ratio of length to diameter L/D for cylindrical magnet (measured by experiment).





